洁净室的装修建设是一项结构复杂的工作,而为了确保车间能达标并且顺利交付业主,是需要进行一系列检测的,这篇文章给大家介绍下洁净室风速、风量的检测方法。

检测要求:风量、风速应首先检测;风量检测前,必须检查风机运行是否正常,系统各部件安装是否正确,有无障碍,所有阀门应固定在一定的开启位置上,并应实测风管、风口的尺寸是否符合设计要求。
检测方法 :对于单向流洁净室按右边的计算公式来计算 
![]()
其中:
Q——洁净室送风量(m.3/h);
F——洁净室的测定截面面积(m2);
——洁净室截面平均风速(m/s)。
对非单向流洁净室,风量的测量有风管法和风口法两种方法即风管法测定风量和风口法测量风量。对安装有高效过滤器的风口,可根据辅助风管测量风量;将平面划分为等面积的网络;每次测试至少进行5s,取此时间平均值为测量结果。
测量设备。热球风速仪、毕托管和微压计等。热球风速仪的量程宜采用0.05~5m/s,精度<±3%,常用毕托管有500mm、1000mm、1500mm。
测量合格标准。实测室内平均风速应大于设计风速,应为设计风速的1~1.2倍,且为正偏差;单向流洁净室的截面风速不均匀度不应大于0.25。
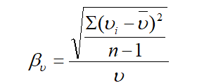
风速不均匀度按下面的公式计算

βμ——风速不均匀度;
υi——任一点实测风速(m/s);
υ——平均风速(m/s);
n——测点数。
除了风速不均匀度外还有以下两个方面;
实测新风量与设计新风量之差不应超过设计风量的10%;
洁净室系统总风量与设计风量的允许偏差为0~20%,室内各风口风量与各自设计的风量之差不应超过设计风量的15%。

如您有洁净室的装修建设需求可以找清阳工程。清阳工程是江苏昆山一家专业的净化工程公司,成立于2007年,具备专业二级总承包资质和专业的设计施工团队。16年专业从事无尘车间、洁净室、无菌车间、gmp车间的等净化工程的装修、建设、改造。并且有过各种行业各种洁净度等级的成功的净化工程超450家,经验丰富。欢迎联系在线客服或电询18915730122了解更多详情。
下一篇: 无尘车间的等级你知道么?
上一篇: 泰州实验室净化车间报价-清阳工程